In primo piano. Reti elettriche in regime continuo. lezione sulle grandezze elettriche fondamentali: definizioni, unità di misura e relazioni che le legano. 50 minuti. In questa lezione andremo a studiare insieme la 1° Legge di Ohm, fondamentale per tutti gli argomenti che seguiranno.. Fisica. 20 esercizi. Contenuto riservato: accedi per sbloccarlo. La corrente elettrica.

La legge di Ohm spiegata in modo semplice YouTube

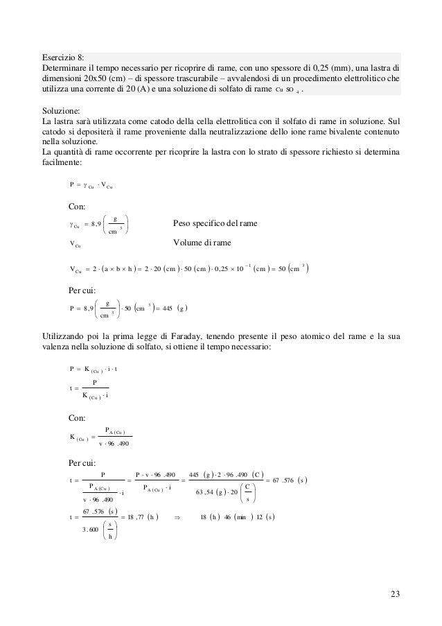
Esercizi _ legge di Ohm

esercizisullaprimaleggediohm Leggende, Esercizi, Primati

Circuiti elettrici esercizi, leggi di Kirchhoff, leggi di ohm, legge di ohm, prima legge di ohm

esercizi svolti prima Legge di Ohm YouTube

Esercizi Legge Di Ohm Scuola Media marjetti

ESERCIZI SULLA LEGGE DI OHM YouTube

Esercizi Legge Di Ohm Terza Media mihasenda

MECCATRONICA LEGGE DI OHM e POTENZA ELETTRICA

FISICA! leggi di ohm, prima legge di ohm, resistenza elettrica, leggi di ohm spiegazione

PPT Unità 12 PowerPoint Presentation, free download ID3011576

La LEGGE DI OHM spiegata con i LED YouTube

Prima legge di Ohm applicata ai collegamenti in serie di resistori YouTube

Esercizi Legge Di Ohm Terza Media mihasenda

3^ SCIENZE Esercizi Prima legge di Ohm YouTube

PPT Le leggi di Ohm PowerPoint Presentation, free download ID4896099

Esercizi Legge Di Ohm Terza Media mihasenda

Le Due Leggi di Ohm YouTube

Esercizi semplici di applicazione della prima legge di Ohm YouTube

esercizio guidato legge di Ohm svolgimento grafico sul ricavo della resistenza YouTube
esercizi risolti sulla resistenza. corrente elettrica, legge di Ohm e densità di corrente. edutecnica Index Elettrotecnica Teoria. Resistenza e resistività elettrica : esercizi risolti. Esercizio 1. Un. Esercizio 1. Un blocco di ferro ha dimensioni 2 cm per 2cm per 15 cm. Si applica una differenza di potenziale tra due facce opposte.. Esercizi con soluzione 1° legge di Ohm e potenza (da scaricare) Scheda di apprendimento 1° legge di Ohm (da scaricare) Scheda di apprendimento 2° legge di Ohm. Esercizi svolti sull'elettromagnetismo; Macchine elettriche: esercizi svolti. Esercizi sui motori elettrici e sui generatori;